雜質無紫外吸收成限速步驟,幾種常用衍生方法 幫你解決
傳統化學方法,無法準確定量,怎么辦?
示差檢測器,蒸發光檢測器,靈敏度低,滿足不了檢測限要求,怎么辦?
LC-MS,價格昂貴,適用范圍窄,怎么辦?
在整個藥品研發過程中,產品雜質研究是至關重要的一環,一些特殊雜質的檢測往往會成為項目開展的限速步驟!成為困擾大家的絆腳石!
對于一些無紫外吸收的雜質,無法采用紫外檢測器進行常規檢測,傳統化學顯色方法無法準確定量;通用檢測器靈敏度往往達不到要求;LC-MS、GC等儀器價格較貴,且對化合物種類有一定限制。今天,給大家介紹幾種柱前衍生化法,或許可以為你提供新思路,助你解開難題!
(一)柱前衍生化法介紹
無紫外吸收或紫外吸收很弱的物質與帶有發色基團或電化學活性基團的衍生化試劑反應,生成穩定的、具有紫外吸收的物質,可通過液相色譜(紫外檢測器)進行檢測的方法。
優點:
1.對用作流動相的溶劑體系沒有限制;
2.反應條件、反應速率不受限制;
3.通過選擇合適的試劑以及萃取方法,消除干擾;
4.過量溶劑、試劑容易除去;
5.轉變成合適的衍生物,可使分離度改進。
缺點:
1.操作過程繁瑣,容易影響定量準確性;
2.復雜組分樣品衍生化反應后,有可能產生多種衍生化產物,
給色譜分離帶來困難;
3.有時重現性不佳,不易連續化。
(二)常用的紫外衍生基團/試劑


(三)常見的衍生方法
1)對甲苯磺酰氯可與伯胺和仲胺反應

反應特點:
①伯胺和仲胺可與對甲苯磺酰氯反應,叔胺不與對甲苯磺酰氯反應;
②伯胺與對甲苯磺酰氯反應生成的對甲苯磺酰胺化合物易溶于堿性溶液;
③仲胺與對甲苯磺酰氯反應生成的對甲苯磺酰胺化合物不溶于堿性溶液;
反應優點:水浴55℃,水浴30min時能達到較高的衍生化效率,對甲苯磺酰胺化合物紫外響應極強,穩定性高,最大吸收波長229nm。
2)2,4 - 二硝基苯肼(DNPH)與羰基化合物(醛類和酮類中的羰基)反應

反應優點:在酸性條件下,在水浴60℃,水浴20分鐘時能達到較高的衍生化效率。
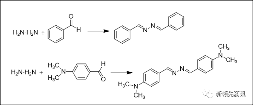
3)苯甲醛/對二甲基苯甲醛與肼反應生成苯甲醛吖嗪/對二甲氨基芐連氮黃色化合物

反應優點:20分鐘即可反應完全,反應轉化率較高。
案例分享
1)案例一
研究思路:起始原料TGR-1D制備過程中可能會引入某致突變雜質,結構與TGR-1D相似,考慮將TGR-1D按照致突變雜質進行研究,TGR-1D無紫外吸收,GC/GC-MS等都無法達到目的,因此考慮采用對甲苯磺酰氯與結構中的伯胺進行柱前衍生,采用HPLC進行測定。

衍生方法:水浴55℃,衍生30分鐘。衍生產物穩定,229nm有最大吸收。

結論:經方法學驗證,方法穩定,衍生效率高,LOQ為0.36ng,為致突變雜質研究及無紫外吸收雜質研究提供一種研究思路。
2)案例二
研究思路:需要對起始原料乙醇胺進行研究,該化合物無紫外吸收,GC響應較弱,結構為伯胺,考慮采用對甲苯磺酰氯衍生生成對甲苯磺酰胺化合物,引入較強共軛,可采用HPLC進行測定。

衍生方法:水浴55℃,衍生60分鐘。衍生產物穩定,229nm有最大吸收。

結論:經方法學驗證,方法穩定,衍生效率高,LOQ為0.04ng,為無紫外吸收雜質研究提供一種研究思路。
藥物研發過程中,對于一些無紫外吸收的雜質研究,可有多種方法,如GC、GC-MS/MS、LC-MS/MS、蒸發光檢測器(ELSD)、電噴霧檢測器(CAD)、柱前衍生等方法,各自方法均有優缺點。對于結構中有明顯可衍生基團情況下可優先考慮衍生,但須兼顧其他雜質及主成分的干擾,另外需要兼顧檢測成本,綜合選擇最優的方法有利于日常研究及監控。
轉載聲明:未經本網或本網權利人授權,不得轉載、摘編或利用其他方式使用上述作品。已經本網或本網權利人授權使用作品的,應在授權范圍內使用,并注明“來源:新領先醫藥科技”。

Hotline服務熱線:010-83057670
簡體中文

010-83057670
聯系地址:
技術市場部:
北京新領先
新領先藥訊
010-61006450
